互聯網行業快訊
發布信息準確時間:2021-11-04 17:10:10 查看:2890
TI的電源模塊TPS82130SILR由于大面積缺貨,而Cyntec的uPOL電源模塊優異的封裝和性能,已經被眾多客戶pin to pin替代。
在事實上的適用中,通過無數項目師調查問卷的高技術性地方,公司匯總表2點高技術性適用軟文筆記補充營養給出:
1.MUN12AD03-SEC的SS軟發動算出與TPS82130SILR有不一樣,即上電時序需求不一樣。可以參考算出公試給出。
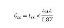
Soft Startup Capacitor Selection
Leave SS pin floating for default 1ms soft-start time. For longer than 1ms soft-start time, connect a
capacitance between the SS pin and the GND allows programming the startup slope of the output
voltage. A constant current of 4μA charges the external capacitor. The capacitance required for a given
soft startup time for the output voltage is given by Equation 2:

2.TPS82130SILR本來轉換端接的L22電感/磁珠,MUN12AD03-SEC則不需。如開展這一電感/磁珠,則有或許會會造成turn off時 Vout會出一名阻尼振蕩,并且都不會影響力便用。這樣波形參數下面圖。
更加關羽Cyntec物料技術工藝要素,請咨詢服務讓我們的工程建筑師。
廣州 市立維創展信息方法授權證書加盟Cyntec全新服務,專業專注為朋友供應高食品品質、優質化量、定價公證的電壓模塊電源服務。服務原廠國外,品質確認,共為我國國內市場上供應方法不支持,青睞網絡咨詢。
祥情知道Cyntec交流電源控制模塊請點開://imyme.cn/brand/16.html