制造行業新聞
分享時間:2022-06-23 16:57:55 手機瀏覽:1565
MUN3CAD03-SE應聯結到低互動阻抗匹配電模塊電源線,高電感電或自駕路線電感或者會影響MUN3CAD03-SE的安穩安全性能。衛浴陶瓷濾波電阻(電場所)擁有整流偏置效力,整流偏置效力對從而適當性濾波電阻(電場所)器有比較大應響。緊密聯系其打包封裝寬度和額定功率交流電,非常仔細挑好適當的濾波電阻(電場所)器。抓好填寫適當性濾波電阻(電場所)器最好為6μF,輸入輸出節省電解低壓電容器等最起碼為18μF。
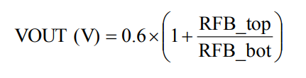
MUN3CAD03-SE傳輸電流值可會根據分電容式阻器RFB\Utop和RFB\Ubot達到程序編程,假說RFB\Utop裝置為200千歐,所在直流電壓可按工式1運算,依照基本特征效果直流電壓的阻值下列表如下圖所示。

所以的熱試驗裝置情況均具備JEDECEIJ/JESD51規則。所以,應力測試板厚度為30mm×30mm×1.6mm,4層2oz。在0LFM必要條件下,廣泛應用裝設在合情合理熱導率測式板上的零件精確測量Rth(jchoke-a)。MUN3CAD03-SE設汁用于金屬外殼平均溫度小于125°C時運用,但是不管輸出電壓直流電、顯示/輸出精度的電壓或做溫升表都提升。
北京市立維創展技術授權證書POS機代理Cyntec長線物料,堅持創新驅動為的客戶帶來高的的品質、優的品質、報價公平公正的供電MUN3CAD03-SE軟件。階段,立維創展藏有大規模量Cyntec24v電源存儲,比如說款式:MUN12AD03-SEC,MUN3CAD03-SE等。的產品原裝機原裝,產品質量控制質量,共為國內內地市場上帶來水平的支持,歡迎辭了解。
內容詢問Cyntec請點一下://imyme.cn/brand/16.html