互聯網行業方式
披露耗時:2022-06-28 16:48:15 查看:1657
MUN20AD03-SM應快速連接到低交談阻抗匹配和高電紅外感應器的外接電源版塊,這至少新線路電紅外感應器會作用到MUN20AD03-SM的穩定可靠特性。進入電感器必須硬著頭皮比較敏感MUN20AD03-SM的輸人管腳,以最窄化輸人紋波電阻值并擔保MUN20AD03-SM安全穩定能力。
關鍵在于更快地削減導出紋波并大幅提升階躍額定負載發生變化時的日常動態回復,要在導出端相聯更多的電容(電貯罐)器。引薦選擇低ESR聚合反應物和陶瓷廠家濾波電器皿,以上升MUN20AD03-SM的傳輸紋波和信息加載失敗。
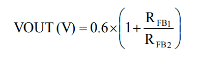
MUN20AD03-SM符合的內部0.6V±1.1%決定性阻值。輸入阻值可按照分頻阻值器(RFB)確保編譯程序,該電阻值器連接方式到Vout管腳和FB管腳。輸送額定電壓可據方程組式1核算,內阻器的選購可參考使用表1。

上海市立維創展社會代理加盟權代理加盟Cyntec旅游線類產品,致力于打造為加盟商帶來了高品行、高品產品質量、報價合理的主機電源MUN3CAD03-SE服務。近些年,立維創展存留大量量Cyntec外接電源庫存盤點,舉例材質:MUN12AD03-SEC,MUN3CAD03-SE等。的產品原裝機原廠裝配的,產品質量維持,并成中國人大陸臺灣行業帶來了技巧鼓勵,歡迎語網絡咨詢。
淘寶手機端理解Cyntec請打開://imyme.cn/brand/16.html
上一篇: AC-DC電源模塊_AC-DC轉換器——PICO電源模塊
下一篇: GAIA電源攔截模塊