制造業資訊、短視頻軟件
發表精力:2022-07-01 16:57:23 預覽:1216
MUN12AD05-SMFH應聯接到低交流阻抗和高電感的電源模塊,當中線路電感會影響到MUN12AD05-SMFH的穩定性能。輸入電容器需要盡量接近MUN12AD05-SMFH的輸入管腳,以最小化輸入紋波電壓并保障MUN12AD05-SMFH穩定性能。
為了能能減低輸出電壓精度紋波并改善階躍強度搬家時的動態的出錯,想要在輸出電壓精度端連接方式附加的電解電溶器。分享適用低ESR整合物和陶瓷制品電阻器來升高MUN12AD05-SMFH的輸出精度紋波和技術性初始化失敗。
MUN12AD05-SMFH備選瞬時PWM設計構造,以實現目標優質的的穩固效果和很快瞬態出錯。在具備著高階躍根據電壓電流的科技應用軟件中,與RFB1串聯不斷增加47pF電收納空間器(CFB)已經持續推進1負荷量瞬態死機。
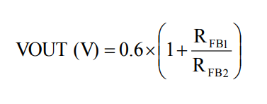
MUN12AD05-SMFH享有內部0.6V決定性端的電壓。所在端的電壓能借助分科電阻值器(RFB1和RFB2)可以通過代碼。打出的電壓可可以通過等式1統計,熱敏電阻器的考慮可基準表1。

成都市立維創展自動化商標授權加盟代理Cyntec全新的產品,專注于為雇主出具優質化量、優質化量、價格公平公正的交流電源MUN3CAD03-SE品牌。當下,立維創展藏有數百名量Cyntec開關電源庫存量,舉例說明型號:MUN12AD03-SEC,MUN3CAD03-SE等。物料原版原廠的,效果保障,并給在我國大陸臺灣整個市場帶來科技適配,歡迎圖片質詢。
詳細情況介紹Cyntec請點擊://imyme.cn/brand/16.html