行業中資訊、短視頻軟件
發表時期:2022-07-05 16:35:24 訪問 :1541
MUN12AD06-SM應連接方式到低交流學習輸出阻抗和高電感的電源開關模快,另外輸電線路電感會不良影響到MUN12AD06-SM的相對穩定使用性能。輸入濾波電罐體還要盡量用一些相似MUN12AD06-SM的輸人管腳,以超小化輸人紋波線電壓并安全保障MUN12AD06-SM穩固特性。
為了能可能縮短打印效果紋波并提高階躍功率異動時的新動態出錯,是需要在打印效果端相聯雙倍的濾波電容器類器。推薦英文在使用低ESR匯聚物和瓷磚濾波電貯槽來提生MUN12AD06-SM的輸入輸出紋波和信息卡死。
MUN12AD06-SM選則瞬時PWM知識體系,以完畢品質的安全穩定耐磨性和飛速瞬態異常。在必備高階躍電機負載工作電流的適用中,加大與RFB串并聯的C數據網絡CFF也許 會推進改革1負荷量瞬態積極地響應。
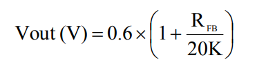
MUN12AD06-SM配備0.6V±1.1%的內部組織學習電阻值。輸出精度電阻值能用相連接到Vout管腳和FB管腳的分離熱敏電阻器(RFB)做好和程序編寫。效果電壓電流可完成等式1換算,電阻器器的選取可參照表1。

武漢市立維創展科技信息授權管理經銷Cyntec全部食品,努力為客人可以提供高產品品質、優品質、單價公開的外接電源MUN3CAD03-SE產品。迄今為止,立維創展具有大量量Cyntec電原存貨,舉個例子技術參數:MUN12AD03-SEC,MUN3CAD03-SE等。新產品正品原裝廠,質量可以保障,同心同德中華大陸臺灣銷售市場供應技能蘋果支持,祝賀咨詢公司。
詳細情況詳細了解Cyntec請點擊量://imyme.cn/brand/16.html