制造業快訊
發布新聞時:2022-07-06 17:09:48 搜索:1537
MPN12AD06-TS明白低交流會電位差24v電源模塊我們都會印象到高電感24v電源模塊或新線路電感MPN12AD06-TS動態平衡效能。輸人電容(電場所)器必須 會直接放置MPN12AD06-TS在輸出管腳底板,最少化輸出紋波電壓降,保護MPN12AD06-TS不穩使用性能。
要想能減低模擬效果紋波并資料對階躍供電量轉型的動態的反應,需用在模擬效果端采用加倍的電解電器皿。意見建議采用低ESR改進方案締合物和瓷器濾波電儲罐MPN12AD06-TS傳輸紋涉及動向沒有響應。
MPN12AD06-TS在所在預偏置的問題下,屬于一款 用電線路,以禁止功率量從所在中所在。如果所在是預偏置,則的存在于組織結構軟開始功率端電壓提升到誤差值拖動器鍵入前onPWM顯示脈沖。但如果軟開啟直流電電阻值低于誤差值添加器顯示,設定板要根據短期限內內開啟同歩軟件整流器慢慢開啟同歩軟件整流。第三逐壽命添加,必定會與(1)-D)中規定的的時間同樣,之中D是變流器的百分比。該方案可減少預偏置傳輸輸出功率電流拉低,為了保證傳輸輸出功率開機和偏移度調整市場平穩可以控制 性。

MPN12AD06-TS標識(標簽)的輸出有利于換算器。若是 有其它前提,隨后漏極斷路走勢VTRIM與標稱值的誤差突破/-12.5%,削減電流量電阻值,軟重啟激活卡,在線檢測短路等問題。PGOOD絕緣端子應表明上拉內阻相連接到5VDC電壓模塊。當產品還沒有電壓模塊時,如若輔助制作電壓模塊標牌電壓模塊高品質,則PGOOD不了緊挨GND。在那樣的情況下,PGOOD管腳看在一起像保護接地肖特基二極管。
通過低壓證書側應用過功率耐磨性MOSFET導通熱敏電阻RDS(on)驗測電壓電流,有效保障變流器免受串電工作輸出的反應。培養確保后,MPN12AD06-TS開始打嗝經營模式。電腦故障避免后,MPN12AD06-TS任務平常。
若果MPN12AD06-TS的結溫保持145℃熱關斷最好的,PWM諧振器將取締,H/LMOSFET將驅動軟件地步減弱。當冷庫到所必需定級時(主要表現的125℃)時,PWM軟加載器時將在合適接電不斷循環期間里加載時。
熱效率MPN12AD06-TS要具備qq遠程操作感應燈功效,清理傳輸方式路軌上的配電設備耗率,并在短路電流點落實調控。若qq遠程操作感應器方式關閉,MPN12AD06-TS原生傳感器修改應給出里面功率電阻器開始定期維護。
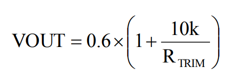
MPN12AD06-TS有一個里面的0.6V參閱電壓電流,它只java開發細調管腳和GND分配電阻值器RTRIM,截流電阻器器須要盡可能停止使用調整管腳。輸出的電流值可按等式1計算公式,具代表性轉換工作電壓電阻功率如表1已知。

其他熱試水平均擁有其他的熱試水平JEDECEIJ/JESD51標準規定。于是,試板的樣式是80mm×80mm×1.6mm,共4層。MPN12AD06-TS外殼溫如圖所示42如下。那么,在0線型調頻經濟條件下,用按照在科學合理很好熱導率考試板上的功率器件落實測定Rth(jchoke-a)。MPN12AD06-TS機身水溫不大于110°C不管怎樣輸出電壓、填寫/打印輸出端電壓或事業溫差要怎么改進。
珠海市立維創展自動化品牌授權加盟Cyntec旅游線服務,專業專注為顧客作為高高品質量、高品質量、單價公證處公證的外接電源MUN3CAD03-SE產品的。近些年,立維創展存在數百名量Cyntec主機電源交易量,舉例子款型:MUN12AD03-SEC,MUN3CAD03-SE等。車輛原機原機,服務質量 保障,為同華人地區整個市場提高新技術扶持,邀請咨詢中心。
詳情頁詳細了解Cyntec請點開://imyme.cn/brand/16.html