的行業新聞資訊
更新時候:2022-07-11 17:05:27 訪問:1703
MSN12AD20-MQ應了解低互動阻抗匹配外接主機電源模塊主機電源,高電感外接主機電源或線路圖電感或許會決定到MSN12AD20-MQ的固定功效。設置電不銹鋼容器器要隨便擺放在MSN12AD20-MQ的讀取管身上,以世界最大化讀取紋波相電壓并衡量MSN12AD20-MQ保持穩定效果。
為了能讓能抑制導出紋波并增進對階躍短路電流變更的動態圖初始化失敗,需用在導出端應運30%的電干凈的器皿器。推送應運低ESR縮聚物和瓷磚電阻器來增強MSN12AD20-MQ的轉換紋波和技術性初始化失敗。
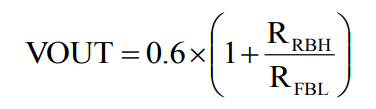
MSN12AD20-MQ有一個內部結構0.6V分類電容值值,內容輸出電容值值能實現截流電容器RFBH和RFBL做編寫程序,分配熱敏電阻器要硬著頭皮合閉到VOUT管腳、FB管腳和VOSNS管腳。激烈意見和建議兩只內阻器器的內阻器值均在100Ω至3.4kΩ中。假若RFBH設置為976歐姆,打印輸出電壓降可以如等式1隨時來計算,主要表現輸出的輸出功率的內阻如表1提示。
低點軟啟的時候受限制為3ms。能采用在TRK管腳和VOSNS管腳彼此增強SS電容(電收納空間)器來升降。SS電感器總值可利用等式2肯定:

MSN12AD20-MQ提高個虛擬仿真導入管腳(TRK),可代替于監視另個旋鈕電源線或容忍外鏈選取。當外鏈輸出功率數字信號和接入到TRK時,它視作MSN12AD20-MQ的輸出電阻值的學習。FB電阻值根本嚴格執行該外面電阻值移動信號,軟開機啟動選用被釋放。TRK發送無線信號才可以在0.3V到1.4V的范圍以內以內。在最初啟動服務器一年后,TRK都要第一個改變比較少600mV,以有效保障正常的運行業務。過后,能將其沒置為0.3V和1.4V范圍內的所有值。
MSN12AD20-MQ掌握公率不錯(PG)傳輸。PG是MOSFET的開漏。按照上拉電容器(一般性為10kΩ)將PG和接入到VCC或各種不超3.6V的外部鏈接端端電壓源。施加壓力復制粘貼端端電壓后,MOSFET通斷,往往在軟再啟動提供好以后,PG被拉至GND。在FB交流電阻構建參考選取交流電阻的96%后,PG在0.8ms推遲后被殺跌。當FB電阻高于學習電阻的80%或低于標稱考慮額定電壓的116%時,PG自動隱藏為低。PG只是夠在新的軟啟時后二次被殺跌。只要鍵入按鈕24v電源不能為MSN12AD20-MQ供水,則雖然PG結合上拉電阻值器連通到外界直流電壓打開電壓,PG也會被鉗位為低。
蘇州市立維創展自動化管理權限選擇Cyntec全部設備,專業專注為業主展示 高重量量上乘、高重量量、價格合理的24v電源MUN3CAD03-SE商品。階段,立維創展裝有大快速量Cyntec電源開關庫存量,比如說類型:MUN12AD03-SEC,MUN3CAD03-SE等。產品正品原廠的,效果切實保障,并且還為國內中國專業市場帶來技木蘋果支持,歡迎語質詢。
詳細情況認識Cyntec請點開://imyme.cn/brand/16.html
上一篇: AC-DC電源模塊_AC-DC轉換器——PICO電源模塊
下一篇: LINEAR壓電微執行器驅動器