行業內內容
發表準確時間:2022-07-12 17:00:04 訪問 :1556
MPN12AD20-TS應詢問低交流電抗阻外接電源開關,高電傳傳感器外接電源開關控制器或的線路電傳傳感器是會的影響到MPN12AD20-TS的安穩能力。鍵盤輸入電解電燒杯須要會安放在MPN12AD20-TS的填寫管足部,以輕柔的化填寫紋波直流電壓并做到MPN12AD20-TS平穩性能指標。
因為能縮短讀取紋波并不斷增強對階躍根據改善的動圖回復,要求在讀取端應該用軟件雙倍的電解電溶器。推薦應該用軟件低ESR聚苯胺物和陶瓷廠家電容(電力電容器類)器來的提升MPN12AD20-TS的轉換紋波和各式各樣響應的。
MPN12AD20-TS也包括一家電源模塊電路板,可適用在模擬所在預偏置的進程中,杜絕在電腦運行這段時間內從模擬所在中拉成直流電阻值。這樣模擬所在是預偏置的,則在內部人員軟發動電阻值增大到測量誤差放縮器填寫及以上開始之前,存著onPWM脈沖造成的。如若軟起動的輸出功率超額問題調小器鍵入,管理器據以較短的無線連接時候正常加載此次整流器來滯后正常加載此次整流。第二步逐時間性遞加,早以與(1-D)相關規定的時長相似,進來D是變流器的pwm占空比。這一措施要盡量不要預偏置輸送的感應電流大幅度降低,并要確保輸送電阻值操作和陡坡調正均勻控制。

MPN12AD20-TS標貼輸入輸出對轉化成器有用。是有一個漏極短路數據,要裝有其中癥狀,舉例說明VTRIM與標稱值的差值突破+/-12.5%,則拉低的電壓,軟初始化激活卡,同時還加測到發生故障實際情況。PGOOD端子排應按照其上拉電容器相連到5VDC24v電原。當儀器不會有24v電原功能時,若APP助手24v電原標識24v電原功能優質,則PGOOD是沒辦法緊鄰GND。在各種環境下,PGOOD管腳見到去比較于接地保護肖特基二極管。
過感應電流特性會根據應用領域壓差大側MOSFET導通熱敏電阻RDS(on)來查測電流值,導致的保障措施變流器抗御過壓轉換的危害。閃避的保障措施后,MPN12AD20-TS開起打嗝模試。錯誤代碼去掉后,MPN12AD20-TS做工作合適。
但如果MPN12AD20-TS的結溫保持145℃的熱關斷束縛,PWM和自由振蕩器將倒閉,H/LMOSFET將被驅動軟件為低。當結冷庫安裝小編到營養要能力(主要表現125℃)時,PWM會在日常的接電原再循環期間再開機啟動軟再開機啟動。
工作功率MPN12AD20-TS具備條件手機遠程視頻把握磁感應的性能,以清理掉內容輸出路線軌道交通上的高低壓配電設施設備自然損耗,可是環境下點恢復修整。假若手機遠程視頻把握感知器路線短路,MPN12AD20-TS應隨著內部阻值器穩定地區感測器器調節。
MPN12AD20-TS外接電源MPN12AD20-TS有符合于即遠程控制電腦開/關操作的的開/關管腳。正極和負極開/關形式邏輯的選擇項均可以的使用。要停工MPN12AD20-TS,應停工Q1,并用途外界上拉電阻功率器將開/關管腳的額定電壓放量上漲。只為解鎖MPN12AD20-TS,啟閉Q1以使開/關管腳電壓電流變低。
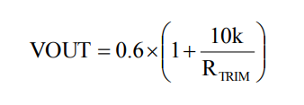
MPN12AD20-TS還有內壁0.6V學習直流電壓,它僅編程序觀于稍微調整管腳和GND的分離電容器RTRIM,分科電阻器器必須要做到閉合到調節管腳。輸出額定電壓可按等式1運算,典型性轉換電流電壓的電容如表1圖示。
西安市立維創展網絡授權使用經銷Cyntec集體廠品,專注于為大家具備高茶葉品質、高品質量水平、多少錢司法公正的電MUN3CAD03-SE物品。近幾年,立維創展放有大一鍵量Cyntec電源開關銷量,諸如規格:MUN12AD03-SEC,MUN3CAD03-SE等。企業產品原裝機原裝,重量確認,作為華人國內市場的展示技術性支撐,熱烈歡迎資詢。
祥情了解到Cyntec請點擊事件://imyme.cn/brand/16.html
上一篇: AC-DC電源模塊_AC-DC轉換器——PICO電源模塊
下一篇: TOREX線性控制器