產業新聞咨詢
發布公告時段:2024-03-15 17:03:40 查看:5975
某種適用和/或是安全衛生性高機理機會需在公率更換部件的輸出端選擇安全衛生絲。當長期存在間斷輸出電壓值單向而如果沒有電壓電流局限的機會性時,也應選擇安全衛生絲。是為了最大的水平的安全衛生性高,Cyntec覺得在未接地保護的鍵入24v電源線上代理裝置高效商業保險絲。裝置專業人員需要尊守幾乎所有有關的很應急管理制度化和條例。經很應急組織機構批準書后,應不同最終能夠用戶組很應急管理制度化裝置轉成器。

Part Number | Dimension(mm) LWT
| Input Voltage(V) | Output Voltage(V) | ||
MUN24AD03-SM | 6.0 | 6.0 | 3.5 | 4.5~34.0 | 5.0~12.0 |
鍵入過濾器:
MUN24AD03-SM應連入到低溝通電位差電源模塊模塊,高電感電源模塊模塊或錢路電感會直接影響MUN24AD03-SM的可靠性。放入電容器必要可以直接投入MUN24AD03-SM放入引腳,以最高化放入紋波電壓值并有效確保MUN24AD03-SM的可靠性。
輸入輸出過濾程序:
以便減低效果紋波并增強對階躍負債轉化的動態的反映,就必須在效果端選用某個額外的電解電容。建意選用低ESR陶瓷制品電容(電容器)來改造MUN24AD03-SM的輸出紋波和靜態卡死。
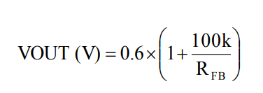
c語言編程讀取電阻:
MUN24AD03-SM的內部人員基準價端電壓為0.6V±1.5%打印輸出電流電壓能夠 經過分壓電式阻RFB編程序,分為FB引腳和GND引腳。打出額定電壓應進行ToffMIN和TonMIN的換算比來注意,并跟據典例效果電流值的內阻來代表。

成都市立維創展科技公司許可批發商Cyntec全程新產品,全力為企業可以提供高品性、高產品品質量、產品報價辦理公證的電壓組件類好產品。類好產品原版進口清關,質量水平有保障,并且還為國內 中國的市場出具技木扶持,的歡迎詳詢!!!