制造行業信息資訊
更新時間段:2022-10-26 16:53:07 搜素:2460
市面上這兩款3A的μModule產品:TPS82085、MUN3CAD03-JE被很多工程師用到,其中品牌分別為TI、矽力杰、Cyntec,引腳確定不一樣,能夠 改變原位互相交換取代。
TPS82085這顆3A的供電模塊圖片, 在中整個市場選用相對諸多,列如光模組、工業控制機、數據報告學校等好項目。因為集變成了DC-DC、MOS、電感等,建筑項目師較便利地之間運用,而以減少了接線和設計方案的時光。還有更重要性的客觀因素是,上升了整個的交流電源工作效率,對控制系統的發燒得見優化。
對這樣模快TPS82085的采用崗位溫度(-40~125°C),TI原裝廠的表明是:
這兒華祥苑茗茶小編表明特別模棱兩可,讓大多建設項目師特別困難。但是TI的解釋一下是:集成電路芯片的結溫不能夠高達125度,則本職工作區域平均溫度意見建議在85度作用,較高的氣溫都要增大熱量散發器風扇熱量散發。一旦違反氣溫身高,會發現保護的。
2022年10月Cyntec新投入市場μPOL企業產品MUN3CAD03-JE,選用強迫PWM任務經營模式,這成品比較地適應性光控制器成品和FPGA在輕載的策略下的崗位,還能在載重車的策略下確保好的紋波特點。Cyntec物品的引腳封口一下圖:
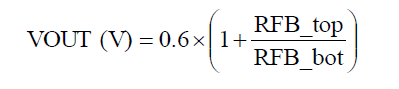
在間接切換多方面,MUN3CAD03-JE需求調整意見反饋電壓降因子:
在紋波性狀上,TPS82085 和MUN3CAD03-JE會比較如下所示:
二者的電安全性能叁數比較詳細:
型號規格 | 錄入輸出功率 | 效果電阻值 | 直流電壓 | 體積太 |
TPS82085 | 2.5~6V | 0.8~6V | 3A | 2.8*3.0*1.3mm |
MUN3CAD03-JE | 2.75~5.5V | 0.6~3.3V | 3A | 2.8*3.0*1.3mm |
在Cyntec的好市場拓展團隊升級中,比MUN3CAD03-JE老一個的最新版本產品的是MUN3CAD03-SE ,這牌設備選取輕載和載重任務模試變換的功能,不錯地能維持了生產率高過0.5%的共同點,這款瓦數的開啟點在400ma, 也能夠提供有差異頂目的需求分析。

武漢市立維創展科持受權代理加盟Cyntec全新好成品,致力于打造為業主帶來高品格、高品效率、價值辦理公證的供電摸塊好成品。Cyntec的交流電源控制器好產品,交貨時間4-6周,部門現貨黃金存貨購貨,認可在線咨詢。
祥情詳細了解Cyntec電源包塊包塊請選擇://imyme.cn/brand/16.html
上一篇: AC-DC電源模塊_AC-DC轉換器——PICO電源模塊
下一篇: TPSM82823電源模塊替代